高铁隧道是5G重点覆盖场景之一,对通信运营商增强品牌效益及提高客户粘合度非常重要。针对5G高频特性,分析了常见隧道覆盖方案的可行性,包括漏缆覆盖、漏泄波导管覆盖及特型天线覆盖。基于隧道场景的5G系统链路预算,总结了5G系统对各个方案的性能要求,为5G高铁隧道天馈产品进一步研发提供参考。
0 引言
截至2018年底,中国铁路营业里程达到13.1万km,其中高铁营业里程超过2.9万km[1]。随着高铁路网密度快速增长,旅客发送量不断增加,高铁通信逐步成为各通信运营商提升品牌效益和客户黏合度的竞争领域。
现有高铁里程中包括大量长隧道,如壁板坡隧道,全长超过14 km。与普通铁路隧道相比,高铁隧道的无线覆盖设计和建设实施更加困难。高铁隧道覆盖的特点是列车速度快、车体穿透损耗大、设备安装空间狭小等,这对移动通信网络提出了更高的要求。如何在狭长的高铁隧道内提供高质量的无线覆盖,是各大运营商面临的挑战。
与4G相比,5G有更大的带宽,有利于提升速率和容量,但更高的频段对覆盖能力提出了更高要求。在高铁隧道场景中,传统2G/3G/4G网络通常采用BBU+RRU+泄漏同轴电缆(简称漏缆)的覆盖方式[2]。漏缆的传输损耗系数与频率成正比[3],即频率越高,单位长度的传输损耗越大。对于采用独立组网(SA——Standing Alone)架构、部署在3.5 GHz频段的5G网络,若目标长度漏缆的损耗过大,则无法实现高铁隧道的5G信号连续覆盖。
1 隧道覆盖方案
在高铁长隧道中,一般每500 m存在一个安装设备的避车洞室。数字化室分单个远端射频单元覆盖半径不超过100 m[4],受安装条件限制,不适用于高铁隧道布设。又因高铁隧道空间狭小,考虑安全因素,也不具备安装大型天线的条件。基于上述限制因素,可用于隧道场景的常见覆盖方式包括:漏缆、漏泄波导管及特型天线。
1.1 漏缆覆盖
漏缆是一种利用同轴电缆外导体上的开缝辐射或接收电磁波,从而与外部空间进行无线通信的传输媒介,主要应用于闭域空间的无线通信。图1为利用漏缆覆盖隧道的示意图,RRU安装在避车洞室内,漏缆安装高度与高铁列车窗口对齐,基站信号通过漏缆辐射,穿透车窗、车体到达车厢内用户。
图1 利用漏缆覆盖隧道
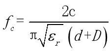
漏缆处在单模辐射状态,其他高阶模处于非辐射状态时的频率范围称为漏缆的使用频带,避免高阶模产生的最大频率称为截止频率[5],计算公式如下。

(1)
式中:
c——光速
εr——绝缘层相对介电常数
d——内导体的等效直径
D——外导体的等效直径
隧道覆盖常用的漏缆型号包括13/8漏缆及5/4漏缆,其理论截止频率约为2.8 GHz和3.6 GHz。因此,3.5 GHz频段的5G信号无法在13/8漏缆中传输。
传统5/4漏缆传输损耗及耦合损耗如表1所示,其在3.5 GHz高频段的百米传输损耗很大,是1.8 GHz的2倍以上。若目标覆盖长度为250 m,则相同输入信号强度的3.5 GHz信号及1.8 GHz信号在最远点距漏缆水平2 m处的接收信号强度相差约(11.2×2.5+66)-(4.7×2.5+70)=12.25 dB。

表1 5/4漏缆的传输损耗及耦合损耗参数表
1.2 漏泄波导管覆盖
与漏缆类似,漏泄波导管也是一种电磁波传输媒介,其本质上是一种连续的加长型天线,可用于地铁隧道覆盖[6]。通过波导管开具的槽孔,波导管内传输的电磁波可以辐射到外部空间,与此同时,外部空间的电磁波也可以耦合到波导管内。
利用漏泄波导管覆盖隧道与漏缆布设方式相同,但与漏缆相比,漏泄波导管传输频带更宽,传输损耗更小。漏泄波导管及5/4漏缆在3.5 GHz频段的性能对比如表2所示。从两者百米传输损耗对比可知,传输损耗要求一致时,5/4漏缆的传输距离约为漏泄波导管传输距离的31%。
表2 漏泄波导管及5/4漏缆在3.5 GHz频段的性能对比
若在隧道中部署4T4R的5G网络,需并排布设4根漏缆或漏泄波导管。漏泄波导管单价比漏缆高很多,若大规模使用,需投入大量建设成本。此外,漏泄波导管工艺复杂、受外界环境影响大等不足使其设备性能变得异常敏感[6]。因此,需推动漏泄波导管在成本及稳定性方面进行改进。在此之前,不建议大规模使用漏泄波导管进行5G高铁隧道覆盖。
1.3 特型天线覆盖
利用特型天线覆盖隧道的常见形式是采用特型天线在隧道口或隧道内进行覆盖,如对数周期天线或八木天线。
不同长度的隧道所采用的覆盖方式也不同。
a)对于直线型短距离隧道,可在两端的隧道口安装特型天线朝隧道内部覆盖,同时,为保证终端可以在隧道内外平滑切换,也可在隧道口安装另一面天线,朝隧道外部延伸覆盖,此时隧道口两侧应设置为同一小区。
b)对于长距离隧道,在隧道口和隧道内均应安装特型天线,大部分长距离的隧道两侧分属不同小区[7],所以长距离隧道可考虑用2个小区进行覆盖,将切换区设置在隧道内。
特型天线覆盖方式设计灵活,与漏缆覆盖相比,施工更简单,投资更低。但这种覆盖方式对天线的尺寸、外型及增益要求较高,需重点考虑安装条件、安全性以及稳定性要求,以满足高铁进入隧道时的风压要求。
1.4 方案对比
3种隧道覆盖方案的对比分析如表3所示。
表3 隧道覆盖方案对比
2 性能指标要求
如1.2节所述,漏泄波导管规模使用的限制因素为价格及稳定性,故本章仅分析漏缆及特型天线性能指标要求。
2.1 漏缆覆盖方案
对于漏缆覆盖方案,关键性能指标为整体损耗,包括传输损耗及耦合损耗。
2.1.1 链路预算分析
漏缆在隧道内的传播只与横向传播模型有关[3],与隧道的弯曲程度无关。假设RRU为2端口,各端口用功分器连接2段漏缆分别朝向两侧。考虑多家运营商共建共享,引入2 dB合路器及连接电缆损耗。假设漏缆安装在距地7 m高的地方,高铁车厢内的接收点距漏缆的水平距离约为4 m,相比2 m处引入了额外6 dB空间传播损耗。通信系统一般为上行受限,利用漏缆覆盖高铁隧道的上行链路预算如表4[8]所示。
表4 漏缆覆盖上行链路预算
若使用现有5/4漏缆覆盖,3.6 GHz频段百米传输损耗LT为13 dB,耦合损耗Lc为67 dB,则基站接收到的每RE信号强度为-1.51+3-34-2.5×13-67-6-2=-140.01 dBm,无法满足接收机灵敏度要求。
在满足接收机灵敏度要求前提下,允许最大纵向传输损耗为-1.51+3-34-67-6-2-(-129.23)= 21.72 dB,对于5/4漏缆,单侧有效覆盖距离为21.72/13×100=167 m,两侧有效覆盖距离为167×2=334 m。
2.1.2 损耗要求
由链路预算分析可知,现有漏缆无法实现高铁隧道内3.5~3.6 GHz频段5G信号500 m以上的连续覆盖。若使用漏缆进行高铁隧道5G覆盖,在不大幅提升成本的前提下,需研发新型漏缆,降低漏缆整体损耗(传输损耗+耦合损耗)。满足500 m有效覆盖距离的漏缆传输损耗LT和耦合损耗Lc要求为:

(2)
2.2 特型天线覆盖方案
对于特型天线覆盖方案,关键性能指标为天线增益。
2.2.1 隧道传播模型
适用于隧道场景的传播模型为:

(3)
式中:
PL——路径损耗(dB)
f——信号频率(MHz)
d——为收发间距(m)
N——路径损耗系数,与频率和覆盖场景强相关,对于1.8GHz频段,典型值为20,对于3.5GHz频段暂无经验值,故暂定20,后续基于测试情况再做拟合修正[9]。
2.2.2 链路预算分析
高铁在隧道内行进时,为保证用户能够顺利切换,隧道内无线信号需有一定的重叠覆盖区域。在重叠覆盖区域运动时,服务小区信号随着高铁行进渐渐变弱,接收到的另一个小区信号则渐渐变强,当满足一定条件后进行切换[10]。
为提高切换成功率,在切换时延基础上需留有一定的切换余量,单向切换距离=切换时延(考虑余量后)×车行速度。考虑余量后的5G切换时延约为1.2 s,若高铁在隧道内运行速度为300 km/h,则单向切换距离为100 m,目标覆盖距离为250+100=350 m。
信号在高铁隧道内传播要经过多次反射和折射才能达到接收机,这使得多径干扰增加,信号在接收机处呈现出快衰落的特性,需考虑快衰落余量。对于单孔双轨隧道,快衰落余量建议值为8.3dB。
利用特型天线覆盖高铁隧道的上行链路预算如表5[8]所示。
表5 特型天线覆盖上行链路预算
将350 m传播距离代入传播模型,得出该距离对应空间路径损耗为94 dB。为保障接收灵敏度需求,-1.51+3-34-94-2-8.3-6.4+Ga≥-129.23,即天线增益Ga≥14 dBi。
特型天线一般采用对数周期天线或八木天线,前者增益低、频带较宽,对各种频率的兼容性好,后者则增益高、频带较窄。由于天线覆盖方案受限于天线增益,因此建议研发满足上述天线增益要求的新型八木天线对高铁隧道进行覆盖。
3 总结
综上所述,在高铁隧道中实现5G覆盖难度很大。对于较短隧道,若整体损耗能满足接收机灵敏度要求,可使用5/4漏缆进行覆盖;对于较长隧道,若现有5/4漏缆无法满足3.5 GHz信号引入需求,则考虑新增或替换为新型漏缆或漏泄波导管;对于直线型隧道或隧道口,建议使用特型天线覆盖。其中,各方案使用的相关天馈产品研发可参考本文提出的性能指标要求。
2019年10月30-31日,“聚视而上、向智而生”珠海论道暨第18届中国IPTV/OTT智能视听产业高峰论坛将在长隆横琴湾酒店举行,主题全新升级,九大论坛在涵盖广电、通信、互联网的基础上,将进一步聚焦5G、4K、资本等热点话题,并广邀业界嘉宾,分享洞察与建策......欢迎关注和参与!
了解珠海论道详情及报名请点击:http://s.lmtw.com/201910iptv/
责任编辑:王楠
24小时热文
流 • 视界
专栏文章更多
- [常话短说] 【重要】广电“壮士断腕”! 2025-12-11
- [常话短说] 【解局】广电降本增效“大有空间”?! 2025-12-10
- [勾正科技] 短剧榜单|电商,美妆行业持续发力,精品定制短剧推动品牌高声量 2025-12-09
- [探显家] CTV 广告从“注意力”转向“可验证的结果” 2025-12-09
- [常话短说] 【解局】这家广电网络公司宣布提前完成任务! 2025-12-09






